2022-2023学年人教版八年级数学上册第15章单元综合测试题及答案(Word版)

2022-2023学年人教版八年级数学上册第15章单元综合测试题及答案(Word版)-扬明学科网
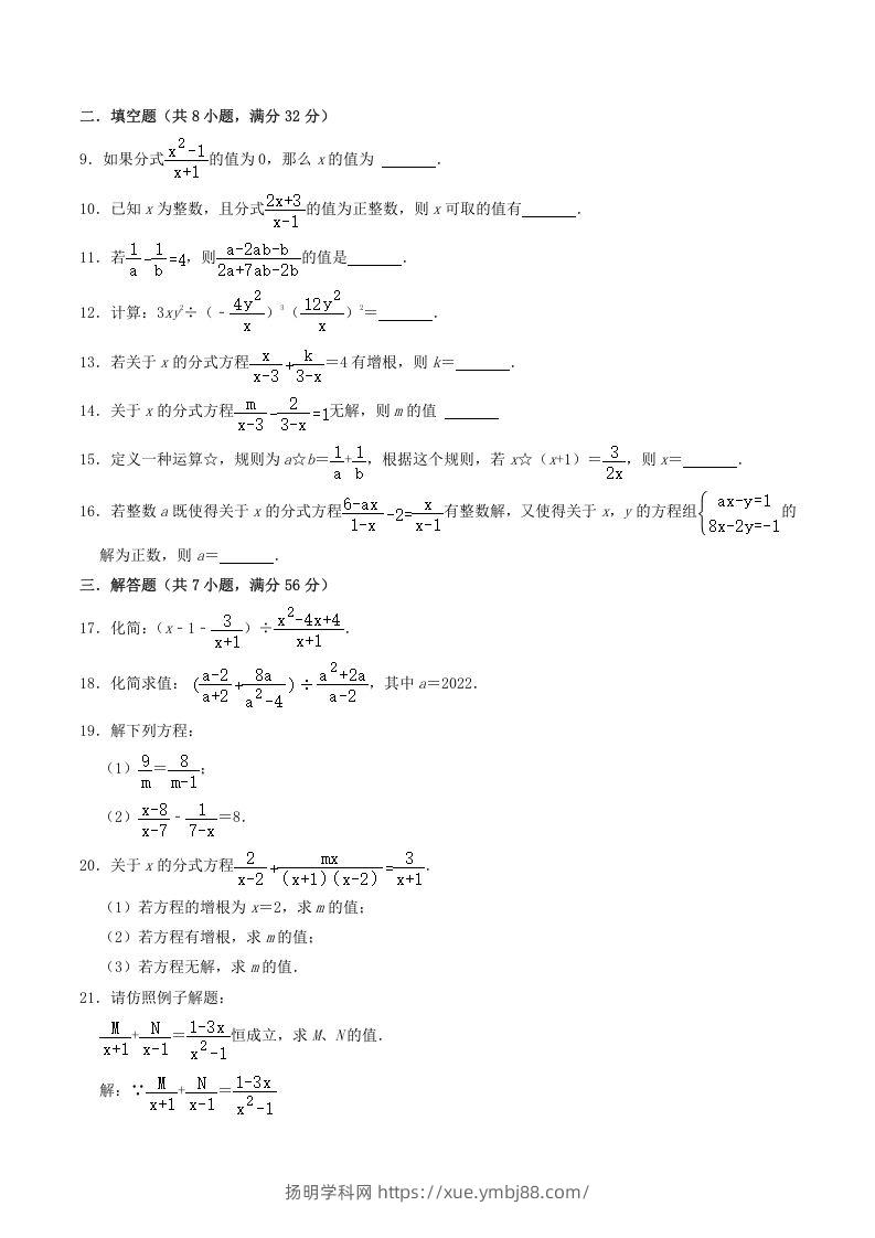
2022-2023学年人教版八年级数学上册第15章单元综合测试题及答案(Word版)
此内容为付费资源,请付费后查看
会员专属资源
您暂无购买权限,请先开通会员
格式doc
页数9 页
大小206.50 KB
付费资源
图片[1]-2022-2023学年人教版八年级数学上册第15章单元综合测试题及答案(Word版)-扬明学科网
图片[2]-2022-2023学年人教版八年级数学上册第15章单元综合测试题及答案(Word版)-扬明学科网
图片[3]-2022-2023学年人教版八年级数学上册第15章单元综合测试题及答案(Word版)-扬明学科网

预览已结束,还剩6页未读,开通会员后可免费下载高清完整文档

© 版权声明
THE END
喜欢就支持一下吧
点赞13 分享